徠卡機器人全站儀助力三等水準測量
一、前言
目前高程測量方法一般分為幾何水準測量、GPS水準測量和三角高程測量三大類。采用傳統水準的方法測定點與點之間的高差,所得到的地面點高程精度較高,普遍用于建立國家高程控制點及測定高等級地形控制點的高程。對于地面高低起伏較大的地區,采用這種方法測定地面點的高程進程緩慢,有時甚至非常困難。

精密三角高程測量在丘陵地、山地、高山地區相比常規水準測量,因架站少、架站自由、靈活、快速,不需要量測儀器、棱鏡高,傳遞高程優勢顯著,能大大降低外業勞動強度,但受限于全站儀的硬件性能,此前一直未能在生產中實際應用;徠卡測量機器人的出現,打破了三角高程測量不能代替高精度水準測量的束縛,徠卡自動全站儀多測回自動觀測、自動識別限差,給野外測量帶來很大的便利,尤其夜間觀測成果更佳。
二、精密三角高程測量技術的可行性研究

作業流程:
檢測棱鏡互差,并檢核棱鏡的加裝是否符合要求,同時還要對全站儀進行組合檢校;
在起點布設棱鏡桿,在距離起點較近的一點(轉點1),布設主站;
主站在轉點1依次觀測棱鏡桿低棱鏡(①)和棱鏡桿高棱鏡(②);
主站不動,在轉點2架設輔站。依次進行如下觀測:后測站觀測低棱鏡(③)、前測站觀測低棱鏡(④)、前測站觀測高棱鏡(⑤)、后測站觀測高棱鏡(⑥);
主站換站至轉點3,輔站不動。依次進行如下觀測:后測站觀測低棱鏡(⑦)、前測站觀測低棱鏡(⑧)、前測站觀測高棱鏡(⑨)、后測站觀測高棱鏡(⑩);
輔站換站,依次循環進行高程的傳遞至接近末點處;
在最后的轉站,主站依次觀測末點高低棱鏡。
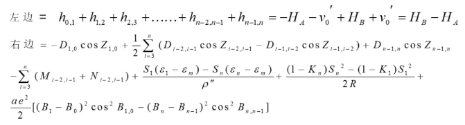
數據模型:

限差

三、項目驗證
為了驗證精密三角高程測量的精度, 內蒙古自治區測繪院使用徠卡TCRA1201全站儀、徠卡TS30全站儀及徠卡TS60全站儀等檢測了很多段用數字電子水準儀測得二等水準路線。其結果如表所示, 精密三角高程測量是完全可以達到二等水準測量的要求。

四、經驗積累、廣泛應用
自2010年5月以來,內蒙古自治區測繪院在呼和浩特、包頭、鄂爾多斯、巴彥淖爾市、烏蘭察布市、赤峰市已成功的使用徠卡自動全站儀精密三角高程測量代替二等水準測量1700多千米;在烏蘭察布市、呼倫貝爾市、興安盟、赤峰市等地方成功的使用徠卡自動全站儀精密三角高程測量代替三等水準測量4000多千米。

經過數年的研究,不同時間,不同區域,所測得的數據基本都能滿足國家二等水準測量規范的要求。徠卡自動全站儀搭配三角高程測量軟件、計算軟件和正確的測量方法,達到了目的和效果。同時我們也積累了諸多的外業經驗:
盡可能使用無伸縮腳架觀測,測段起、末水準點上,對中桿要放穩,保持高度不。
對向觀測時,如一站觀測時間過長,應重測對向觀測。
白天平均氣溫超過26℃時,在保障安全的作業前提下,最好在夜間作業,提前踏勘、選定觀測路線和測站點,更能顯著提高作業效率。
白天作業視線長度不宜超過800米,經過大量測量數據證明500米左右為最佳觀測距離。
白天作業時間遵照水準測量規范上的要求,由于在陽光直射和地面溫度較高,熱氣浪大時大氣折光影響較大。
自動照準觀測,視場內不能有遮擋物在棱鏡前。
視線不能通過煙火上空,觀測目標背后不能有大面積反光地物(蔬菜大棚),大面積水域。
在ATR自動照準時盡量避免陽光直射,由于正對太陽時,在自動照準光路中會有噪聲,從而影響自動照準的精度。

五、總結
傳統二、三等水準在山地、高山的測量中,需要耗費大量的人力、物力和財力,且效率極低。以傳統水準測量為例,在山地連測二、三等水準,單程連續觀測前后視距5-10米,一站一站連測,一個組一天連測3-5公里左右,依據財政部、國家測繪局2009 年頒布的《測繪生產成本費用定額》計算,100個水準點需要聯測1000千米。若對這些點進行二等水準觀測,100個水準點觀測的費用為207萬元,一個組5人需要400天完成。而同樣任務利用徠卡自動全站儀精密三角高程聯測二等水準,一個組一天聯測8-10公里左右,200天以內就可以完成1000千米的水準測量,節省大量的人力、物力。應用徠卡自動全站儀精密三角高程代替二、三等水準測量在困難地區聯測,可產生巨大的經濟效益。
徠卡自動全站儀精密三角高程測量具有傳遞高程靈活、方便、受地形條件限制較少等優點,徠卡測量機器人超高的測角測距精度,為精密三角高程測量提供了硬件保障,目前徠卡自動全站儀精密三角高程測量在大地測量、工程測量中得到了廣泛的應用。
更多相關
南方測繪覓境ME測量系統
南方測繪推出的覓境ME測量系統,是一款集先進性、智能性與便捷性于一身的三維實景采集利器,旨在為用戶提供一站式的空間數據解決方案,重新定義三維測量的工作模式。一...
其域創新靈光L2 Pro手持三維激光掃描儀詳解
在數字化浪潮席卷制造業、文博、建筑等領域的今天,高效、精準的三維數據采集工具成為關鍵。其域創新推出的靈光L2Pro手持三維激光掃描儀,正是這一領域的一款明星...
徠卡全站儀租賃 徠卡RTK租賃
徠卡全站儀租賃 徠卡GNSS接收機租賃全系列型號出租長租短租均可測繪儀器租賃熱線:173-5100-0785 姚經理租賃范圍:徠卡全站儀租賃,徠卡GPS接收機租賃,電...
南方測繪RTK創享V2:高精度測量的革新力量
南方測繪作為中國測繪地理信息行業的領軍企業,其推出的RTK創享V2接收機代表了國產高精度GNSS設備的先進水平。這款設備集成了多項技術創新,為工程測量、地形測...
中定協:11年漲10倍,中國高精度定位市場加速增長
5月18日,中國衛星導航定位協會發布《2021中國衛星導航與位置服務產業發展白皮書》(以下簡稱《白皮書》),指出2020年全行業總產值同比增長16.9%,達到...
天津大學海洋學院與天津海事測繪中心建立測繪活動
北海航海保障中心天津海事測繪中心黨委與天津大學海洋學院黨總支雙方為了進一步推動海洋強國戰略與測繪技術發展的有機融合,探索堅持黨員先進性長效機制的有效途徑和方法,開展了首次支部結對共建活動。 ...
其域靈光L2三維激光掃描儀 有何優勢?
其域靈光L2三維激光掃描儀的核心優勢三維激光掃描技術近年來在測繪、建筑、工業檢測、文物保護等領域得到廣泛應用,而其域靈光L2三維激光掃描儀憑借其卓越的性能和智能化設計,成為行業內的優選設備之一。該設備...
陜西省北斗衛星導航定位基準站系統完成測試
據陜西日報7月27日消息,7月26日,陜西省政府新聞辦召開新聞發布會,陜西省測繪地理信息局副局長陳向陽發布了陜西省北斗衛星導航定位基準站系統(以下簡稱省北斗基準站系統)建設與試運行情況。陜西省北斗...











環球測繪微信